DFID’s Livelihoods Work in Western Odisha
Executive Summary
The Independent Commission for Aid Impact (ICAI) is the independent body responsible for scrutinising UK aid. We focus on maximising the effectiveness of the UK aid budget for intended beneficiaries and on delivering value for money for UK taxpayers. We carry out independent reviews of aid programmes and of issues affecting the delivery of UK aid. We publish transparent, impartial and objective reports to provide evidence and clear recommendations to support UK Government decision-making and to strengthen the accountability of the aid programme. Our reports are written to be accessible to a general readership and we use a simple ‘traffic light’ system to report our judgement on each programme or topic we review.
This evaluation assesses the performance of DFID’s Western Orissa Livelihoods Project (WORLP) in India. WORLP sought to reduce poverty by improving communities’ water resources, agriculture and incomes. It built infrastructure such as embankments, water storage ponds and irrigation channels. It also provided loans and grants to the poor for community-based businesses. The project took place in four of the poorest of Odisha’s 30 districts.1 It spent £32.75 million between 2001 and 2011. DFID rated the project a success, taking this view from, in particular, a 2010 impact assessment that reports interviews with 4,200 people. Our objective was to test the quality of DFID’s assessment and identify whether the project’s benefits had been sustained.
Overall
Assessment: Green
The project was successful and contains much of what we consider to be best practice in delivering UK aid. WORLP was well designed and innovative. It had clear and relevant objectives. Incomes have been increased and livelihoods have become more secure. Communities were involved throughout and are now better able to respond to climate variability (both droughts and heavy rains). The Government of Odisha took full ownership of the project and the state and national governments have subsequently adopted approaches used by WORLP. In hindsight, DFID could have been even more ambitious and improved beneficiaries’ links to markets. This could have led to stronger results and increased sustainability.
Objectives
Assessment: Green
WORLP had clear, relevant and realistic objectives that focussed on building sustainable livelihoods. Its approach was based on detailed analysis and lesson-learning. The project was designed as a pilot and sought to demonstrate approaches that could be taken to a larger scale. It complemented the work of DFID and other donors in Odisha and elsewhere in India.
Delivery
Assessment: Green
DFID’s financing model was appropriate. 85% of financial aid (62% of the total funding) was transferred directly to beneficiaries as wages for work or grants and loans for community-based businesses. Financial controls were adequate. The few cases of corruption were identified by local communities and dealt with appropriately. Consultants added value to and assured the probity of the financial aid. Intended beneficiaries actively participated in all stages of implementation, including setting priorities for funding. DFID did not plan sufficiently, however, for the project’s exit and post-project support needed by the Government of Odisha for sustainability.
Impact
Assessment: Green-Amber
WORLP provided sustainable impacts in areas where it delivered a comprehensive package of support. By involving communities, water and land resources were managed better than by local government on its own. Grants and loans built micro-enterprises for women and men that have resulted in higher incomes. Assets created by the project were transferred to communities. In watersheds where a less intensive approach was implemented, results have been mixed. While the Government of Odisha took full ownership of the project, a partially adequate exit strategy was developed too late, resulting in opportunities being missed to strengthen further the project’s impacts. DFID’s impact assessment was rushed and errors of detail could have been avoided.
Learning
Assessment: Green
This was a highly influential programme that contributed positively to changes in the way that similar projects and programmes are implemented in Odisha and throughout India. The approach pioneered by the programme has been widely adopted across the country but does not seem to have had a significant influence on DFID livelihoods programmes in other countries, which is a missed opportunity.
Recommendations
WORLP is completed. The following lessons from WORLP are applicable to DFID’s future programming for livelihoods and climate resilience.
Recommendation 1: It is particularly important for livelihoods and other climate resilience programmes that DFID enables long-term planning and budgeting. DFID staff should be made aware that departmental budgeting cycles should not constrain effective planning. This is especially the case where an intervention’s success depends on community participation and ownership.
Recommendation 2: Exit and sustainability matter. There should be a specific mandatory workstream in all projects, from inception, that plans for exit and sustainability. DFID needs to manage livelihood projects actively right through to the end.
Recommendation 3: The project emphasises the benefits of transparency to and involvement of beneficiaries. DFID should continue to develop greater transparency at all levels, including in respect of project results.
1 Introduction
1.1 This report assesses the performance of the Department for International Development’s (DFID’s) Western Orissa Rural Livelihoods Project (WORLP). The project was completed in 2011 and was rated a success by DFID. Our primary objective was to test the quality of DFID’s end-of-project impact assessment and to see whether benefits had proved to be sustainable.
India and the state of Odisha2
1.2 India has a population of 1.24 billion and just over a third of the world’s poor people live there.3 Despite the country’s recent rapid economic growth (over 8% per year for much of the last decade), 42% of India’s population still live on less than US$1.25 (around £0.80) per day.4 A fifth of all child deaths in the world are in India, with girls particularly at risk. At current rates, India will only achieve its 2015 Millennium Development Goal (MDG) poverty targets by 2043. As Save the Children has noted, ‘if India fails to achieve the MDGs, so does the world’.5
1.3 India comprises 28 states and seven union territories (see Figure 1).6 Odisha, with a population of 42 million people, is home to 4.3% of India’s poor.7 Human development indicators in Odisha are worse than those for India as a whole: the most recent figures indicate that infant mortality is 61 per 1,000 compared to 47 per 1,000 nationally; and maternal mortality is 258 per 100,000 births compared to 212 per 100,000.8 In 2000, when WORLP was being designed, 37% of Odisha’s population lived below the poverty line compared to 28% in India as a whole.

1.4 Odisha has the highest proportion of inhabitants from scheduled tribes and scheduled castes9 of all the states in India (39% compared to 24% nationally10). These groups are marginalised and experience high rates of poverty, low levels of education and poor health. Over half of the people living in western Odisha are from these communities.
1.5 Over the last decade, Odisha has experienced strong economic growth (9% per annum11), resulting mainly from the exploitation of mineral resources. Most mineral deposits have been found in the forested areas of western and southern Odisha. These are areas where Naxalite or Maoist groups are active, occasionally engaging in armed clashes with police and other security forces. Such groups draw much of their membership from socially or economically excluded people.
UK funding and support to India and Odisha
1.6 Until 2010-11, India received the most UK bilateral aid of any country (£297 million in 2010-11). During 2011, the International Development Committee reviewed DFID’s programme. It concluded that support up to 2015 (when the current country plan ends) remained justified.12 In November 2012 the Secretary of State for International Development announced that the UK would not make any new financial aid grants to India, with all UK financial grant aid ceasing by 2015.13 She noted that it was time to move ‘to a relationship focussing on skills-sharing rather than aid’.14
1.7 The UK began work in Odisha in the 1970s and the area has been a priority for DFID assistance for over a decade.15 Since 2000, the UK has spent over £183 million in the state of Odisha,16 supporting public sector reform, economic development, health and education programmes. DFID’s partnership with the state included livelihoods programmes in western Odisha, through WORLP; and in other tribal areas, through the Odisha Tribal Empowerment and Livelihoods Programme. DFID currently has an office in the state capital, Bhubaneswar.
The Western Orissa Rural Livelihoods Project
1.8 During the lifetime of the project (2001-11), WORLP spent £32.75 million, representing 18% of DFID’s total spending of £183 million in Odisha. The project’s planned outcome was to ‘promote sustainable livelihoods, especially for the poorest people’, in four districts, ‘in replicable ways’, by 2011.17 These districts were Bargarh, Bolangir, Nuapada and Kalahandi (see Figure 2). The project originally aimed to support 125,000 households, comprising 625,000 people living in 290 watersheds.18

1.9 When WORLP was being designed, over 70% of the population in the four target districts lived below the Government of India’s poverty line.19 Yields from the main crop, rice, were low. Crops depended on the monsoon and could not be grown in the dry season due to a lack of irrigation. Monsoon rice farming was difficult, with farmers often experiencing both floods and droughts in the same year. The livelihoods of the poorest families, who were landless and worked as agricultural labourers, were especially vulnerable.
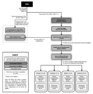
1.10 The project was based within the Government of Odisha’s Watershed Development Mission (OWDM). This body was established specifically for WORLP. Both Indian and international consultants, hired through a UK company, provided technical support to OWDM.20 Work with beneficiaries was undertaken by local government agencies and non-governmental organisations (NGOs).
1.11 The project comprised two elements:
- Land and water management: called ‘watershed development’ (see Figure 3), this comprised activities to improve the management of land and water, including putting in place infrastructure such as embankments, water storage ponds and irrigation channels; and
- Economic support for the poorest: called ‘Watershed Plus’, these activities included providing loans and grants for micro-enterprises and micro-credit and ensuring access to common land for joint enterprises.
The WORLP project area is hilly and the project focussed on watersheds of approximately 500 hectares. Within these, WORLP supported the integrated development of land and water resources from the hills and ridges bounding the watershed down to the valley floor.
On the upper slopes, communities typically planted orchards and other trees to reduce run-off and provide incomes for Common Interest Groups of poor people. At the bottom of the slopes, communities dug ponds and embankments to slow the water rushing off the hills in heavy rain.
On the lower lands, Watershed Groups dug water storage ponds and irrigation channels to irrigate the rice crop at the end of the monsoon season and other crops in the dry season. Sometimes, small concrete structures like sluice gates were also built.
This investment in water management infrastructure was complemented by the promotion of improved agricultural practices and other activities such as fish farming.
1.12 The full programme, comprising both these elements, was implemented in 290 ‘core’ watersheds. In 2006, it was decided to extend the ‘Watershed Plus’ activities to another 387 ‘additional’ watersheds, where the government had already improved land and water management under its regular programme.21 The budget of WORLP was not increased and a previous underspend in WORLP, along with funds made available as a result of exchange rate fluctuations, was used to fund the costs of this expansion. The Government of Odisha had implemented development activities under its regular (non-WORLP) programmes in the villages in these watersheds.
Our approach
1.13 This report considers the performance of WORLP against ICAI’s standard criteria. Our evaluation took place nearly two years after the project had been completed, enabling us to examine DFID’s own assessment of impact. We focussed our attention on the findings and quality of a final performance assessment22 undertaken by DFID which was completed in early 2011. We also wanted to see if benefits from the project were still evident.
DFID’s performance assessment
1.14 DFID’s 2011 impact assessment study took evidence from a random sample of 15% of the project’s watersheds. It compared WORLP core and additional watersheds with ‘control’ watersheds, where the Government of Odisha implemented land and water management under its other programmes and there were no WORLP activities.23,24
1.15 The DFID assessment used interviews of beneficiaries as the key source of information. Beneficiaries’ own reporting of the project’s impact was collected against a common format by researchers. DFID’s assessment then combined the data from the individual interviews to make judgements on the performance of the project as a whole.25
Our assessment
1.16 The ICAI team visited all four WORLP districts and twelve watersheds (four WORLP full programme, four ‘Watershed Plus’ and four control). In each watershed, the team revisited villages surveyed by DFID.
1.17 In each district, researchers randomly selected two WORLP watersheds from those covered by DFID’s assessment. The team planned to visit two villages in each watershed, as well as a nearby control village in another watershed. Figure 4 shows the coverage of our review and DFID’s impact assessment.
1.18 In order to assess the accuracy of DFID’s data, the ICAI team, where possible, interviewed the same households that were questioned in 2010. The DFID assessment team was unable to tell us who they interviewed – but by careful analysis of the DFID study database and asking villagers, the ICAI team identified the households. All respondents were asked whether they were willing to be interviewed and were given the opportunity to decline. Our approach conformed to ICAI’s Interviewee Protection Policy.26
1.19 In each WORLP village, we randomly selected four households from the 14 interviewed by the DFID team and re-interviewed. In control villages, it was not possible to identify the households interviewed by DFID, so focus groups were organised to cover the same topics as the household interviews. We interviewed community groups that worked with the project and assessed physical water control structures jointly with local farmers. In addition, we looked at the quality of WORLP project documentation held at village level. For efficiency, we used the DFID control village nearest to the sampled WORLP villages. We captured information using common interview formats.
1.20 Our visits were unannounced. Nobody outside our team knew which watersheds would be visited. Neither OWDM nor DFID knew the areas where our team would work and our field teams themselves were only told the specific watersheds they were to cover one or two days in advance.
1.21 Our research team in the watersheds was led by a senior evaluation specialist with more than 20 years’ experience. It comprised four experienced field researchers (fluent in both Odiya27 and the local Chhattisgarhi dialect spoken in western Odisha) and two local assistants.
| WORLP watersheds Full programme | WORLP watersheds 'Watershed Plus' activities only | Control watersheds | ||||
|---|---|---|---|---|---|---|
| DFID | ICAI | DFID | ICAI | DFID | ICAI | |
| Districts | 4 | 4 | 4 | 4 | 4 | 4 | 
| Watersheds | 50 | 4 | 50 | 4 | 50 | 4 | 
| Villages28 | 100 | 7 | 100 | 7 | 100 | 10 | 
| Households | 1,400 | 32 | 1,400 | 32 | 1,400 | Focus Groups29 | 
1.22 We were particularly interested in the contribution of consultants to the project and DFID’s oversight of them. We therefore undertook a detailed analysis of 80% of all the consultants’ invoices given to DFID during the project. In addition to a detailed review of DFID’s documentation, interviews were undertaken with officials from DFID and from the Governments of India and Odisha. We also questioned WORLP staff and experts from other organisations. ICAI’s Chief Commissioner joined the team in Odisha, visiting watersheds and taking part in other meetings in both Odisha and New Delhi. Our fieldwork and analysis took place during September and October 2012.
2 Findings
Objectives
Assessment: Green
2.1 WORLP was designed in 1997-98.30 This section considers whether the project responded to contemporary needs and incorporated good practice and previous learning. It also comments on the design’s risk assessment and ambition.
The decision to undertake WORLP was appropriate
2.2 In the latter half of the 1990s, poverty in WORLP’s four target districts was extreme and their populations were marginalised. DFID’s decision to support the project was consistent with its country objectives at the time. Stated outputs of DFID’s 1999-2004 Country Strategy Paper included:
- ‘partnership with selected state governments to tackle poverty more effectively’;
- ‘greater empowerment of the poor, especially women and men of scheduled castes and scheduled tribes’; and
- ‘better management of the natural and physical environment’.31
2.3 DFID’s support for WORLP was offered while the Government of Odisha was undertaking costly economic restructuring, including the disposal of loss-making enterprises.32 This process initially increased unemployment and exacerbated poverty.33 Fiscal constraints at the time restricted the state government’s ability to fund poverty-targeted activities.34 We also heard from senior officials in the Government of Odisha that the state found working in western districts problematic, due to local political instability. WORLP appears to have been timely and appropriate, seeking to alleviate poverty in Odisha’s western districts as well as enabling more rapid economic development in the state.
WORLP design
The design was based on good practice
2.4 The project used DFID’s sustainable livelihoods framework (see Figure 5) and drew on DFID’s research and earlier practice.
The five capitals
Natural: Land, forests, water.
Physical: Infrastructure, tools, equipment.
Financial: Savings, credit, insurance, remittances, pensions, social safety nets.
Human: Skills, knowledge, education, health.
Social: Networks and contacts, mutual support systems, membership of groups, trust.
2.5 DFID had been undertaking community-based sustainable livelihoods programmes in India (and elsewhere) since the late 1980s. Projects such as the Western India Rainfed Farming Project worked with poor and marginalised farmers. The projects sought to build livelihoods by improving agriculture in drought-prone areas, focussing on villages rather than watersheds. While they succeeded, DFID concluded that a more integrated approach, covering a number of villages, was likely to give even better results. This was highlighted in DFID’s evaluation reports35 and a specifically commissioned review of watershed development programmes across India.36 DFID also identified that working directly with government programmes would allow greater scale and sustainability than could be achieved by the previous free-standing projects.
2.6 WORLP was designed around an integrated and area-based approach within watersheds. It aimed to improve the livelihoods of both farmers and the poorest people who have no land. Farmers’ livelihoods were enhanced through better land and water management. Micro-enterprises and other schemes were designed to benefit poorer households. While most lessons from the rainfed farming projects were incorporated, some were not, to the later detriment of the project (see paragraph 2.15).37
2.7 WORLP was designed in close consultation with communities. Communities held meetings to decide whether to participate in the project. Organisations of beneficiaries implemented activities and set local priorities, particularly for funding. Beneficiary groups were also engaged in monitoring project progress.
2.8 Encouraging beneficiaries to participate and building community institutions requires time. The project was designed with a ten-year timespan (subject to periodic review). Such long-term planning is currently unusual for DFID. We think this timespan was appropriate for WORLP and it may be for other, similar projects that plan to overcome poverty by involving participants in delivery. We note that such timespans may require project budgets to be committed across DFID and UK Government budget cycles.
2.9 Figure 6 sets out DFID’s indicators of achievement for the project.38 While these are not as specific or measurable as DFID currently sets, they were typical of DFID documentation at the time that the project was approved. See the Annex for further information on DFID’s objectives for WORLP.
The design was based on accurate local analysis
2.10 To inform the design of the project, DFID specifically built up its understanding of western Odisha.39 Investments during project preparation included detailed analysis of the political, social and environmental situation. In particular, community-based learning involved potential beneficiaries, with DFID providing support to enable their participation. Other stakeholders, including NGOs and Government of Odisha officials, were also included. DFID hired recently retired, senior Government of India officials to support the design. The officials’ knowledge, contacts and status were important in achieving final support for the project. These factors contributed to WORLP’s design being appropriately tailored to local circumstances and supported by key stakeholders.
Planned impact
- Population below official poverty line falls by 30% in project districts by 2010.
- New government guidelines and schemes to improve participation, equity and convergence of programmes adopted by fifth year.
- Donors prepared to move from project to sector support during second half of the project.
Planned outcome
- Approaches developed by the project adopted more widely in western Odisha.
- 70% of marginal famers report improved capacity to cope with drought.
- Fall in incidence of lean season food shortages across all classes in project watersheds.
- 50% of men and women in targeted groups (scheduled tribes, scheduled castes, landless) report significant increase in incomes and assets.
- Community organisations remain active in most watersheds after the end of the project.
2.11 We note that DFID did not set out a clear ‘theory of change’ in its documentation.40 Theories of change were not standard at the time of the design. There was, however, a clear logic to WORLP’s planning based on the livelihoods framework, the detailed analysis of Odisha and lessons from the implementation of other projects.
The project was designed to demonstrate success
2.12 The project sought to pilot approaches that the Governments of India and Odisha could then adopt and support with their own funds. The aim was to develop procedures, practices and policies that could be replicated. The project did this while simultaneously aiming to deliver direct benefits to poor people. This is good practice.41
The design complemented other projects in India
2.13 WORLP’s design complemented those of other activities in India, including the DFID-supported Andhra Pradesh and Madhya Pradesh Rural Livelihoods Projects.42 From its inception, WORLP worked closely with other Government of India anti-poverty programmes, such as the National Rural Employment Guarantee Scheme (NREGS).43 Such close working sought to improve shared learning and ensure that beneficiaries were not excluded from other activities in the project area.
Risk assessment and ambition
2.14 DFID’s documentation identifies risks that could affect the project’s successful implementation.44 Strategies were put in place to respond to most of these, such as ensuring the project benefits did not accrue disproportionately to the relatively well off.45 Mitigation strategies for some other identified risks were not, however, included in the design. These included the risk that community groups may be less effective once project support is withdrawn.
2.15 In retrospect, the project could have been even more ambitious, with a greater focus on developing links to markets and the private sector. This would have improved sustainability. It is notable that efforts were made to develop marketing schemes for key products (e.g. onions) during the project’s life. More could have been done to scale up these initiatives and to learn from other programmes that had succeeded in linking small producers to markets.46
Delivery
Assessment: Green
2.16 This section covers:
- the partnership approach to delivery;
- the delivery model, including the role of beneficiaries; and
- the financing model and financial management, including the approach to corruption.
The project demonstrated effective partnerships
2.17 This project was delivered as a partnership between DFID, the Ministry of Rural Development (MRD) in the Government of India and the Government of Odisha. Senior and technical DFID staff invested time and diplomatic effort to build and maintain good relationships with Indian decision-makers at both national and state levels prior to and during the project.
2.18 We spoke to senior officials in the Government of Odisha and DFID, who emphasised that the decision to take the project forward had been (as one put it) ‘a case of willing buyer, willing seller’. The Government of India suggested that the project should take place in western Odisha. A former senior Government of India official was instrumental in advocating the OWDM model with the Government of Odisha. Unusually, an official from the Government of Odisha joined DFID India staff in presenting the project to DFID senior management in London for approval in 1999.47 It is, therefore, reasonable to view WORLP as an Indian project, which was funded and facilitated by DFID.
2.19 Each partner actively held the others to account. The Government of India pressurised the state government to ensure delivery. DFID challenged the state government over issues such as the pace of implementation. The state government challenged DFID over issues of the quality of some of the assistance provided. Indian officials reported that DFID performed the role of ‘a critical, yet supportive, friend’. This was underlined when, in 2007, the UK was asked by the Government of India to help design the £2 billion Indian-funded Integrated Watershed Management Programme (IWMP). WORLP’s delivery model strongly influenced that of the IWMP.
2.20 At management level, DFID and OWDM staff worked closely throughout the project. They held frequent progress review meetings in New Delhi and Odisha. OWDM took part in DFID’s mandatory annual review missions, jointly presenting findings to state and national government decision-makers. We note that DFID’s decision to open an office in Odisha’s state capital during 2000 made day-to-day working more effective. The close working of DFID and OWDM, at all stages of the project, is an example of best practice.
2.21 Continuity of effective leadership in the Government of Odisha and in DFID contributed significantly to the ability to deliver. Between 2001 and 2011, OWDM had only two directors and DFID’s support was co-ordinated by just three lead advisers. This consistency was and remains unusual for DFID projects.
The delivery model
The delivery chain proved to be fit for purpose
2.22 OWDM proved to be an effective structure. By WORLP’s completion, OWDM co-ordinated all watershed projects in the state, using systems developed under the project. The model has since been replicated in other states and has contributed to developing national guidelines.
2.23 The model of district support was also effective. Implementation in each district was initially led by the Director of the District Rural Development Agency but in 2004 dedicated WORLP Project Directors were appointed, by OWDM, who were supported by local experts in capacity-building.48 Day-to-day work with beneficiaries fell to Project Implementation Agencies (PIAs) operating at block (sub-district) level. PIAs were local NGOs or government organisations. Each PIA engaged with communities in ten watersheds. PIAs comprised:
- a Watershed Development team, providing technical support to communities. For instance, the teams helped to put in place farm ponds, irrigation channels and rainwater harvesting structures; and
- a Livelihoods Support team, helping households (in particular the poorest) to set up micro-enterprises and funding arrangements to improve livelihoods. This included support for carpentry, brick-making, tailoring, goat-keeping, fertiliser-selling, orchards and ponds for aquaculture.
Beneficiaries were key to the delivery model
2.24 Delivery was built around beneficiary involvement, focussing on those who were socially and economically marginalised. Communities often took time to agree participation in WORLP. Each watershed had a detailed ‘micro-plan’ to prioritise project interventions. Such plans were negotiated and were the product of considerable debate within communities. This process itself built the capacity of communities to take control of their own livelihoods.
2.25 Beneficiaries were organised into groups, through the project, so that they could establish common interests. Such groups included:
- Watershed Associations and Watershed Development Committees: these planned and implemented schemes. Members were mainly small farmers;
- User Groups: these were responsible for managing and maintaining the physical infrastructure created in the project. Members were mainly families who owned land;
- Self-Help Groups: these ran savings and credit schemes and developed micro-enterprises. Members were mainly women and the poorest households; and
- Common Interest Groups: these developed community resources to improve incomes. Members were mainly men and women from the poorest households.
Technical assistance appropriately supported delivery with adequate oversight of DFID expenditure
2.26 The project spent £6.75 million on technical assistance (see Figure 7 on page 12). This funded a team of national and international consultants, hired through a UK company.49 This team put in place technical and organisational capacity in OWDM that has endured. This sought to add value to the £26 million transferred as financial aid. We heard of one case of a poorly performing consultant who was asked to leave by OWDM. The UK company dealt with this speedily, without adversely affecting its good working relationship with OWDM. It is notable that the contract delivered the technical assistance under budget.
2.27 We undertook an analysis of 80% of all available consultants’ invoices (65% of entire technical expenditure).50 We noted that contracting was, in practice, input-based (i.e. contractors were paid for activity rather than results), in line with DFID’s approach at the time. The consultants’ quarterly activity reports and invoices to DFID did not clearly link inputs and fees to what was achieved.51 Payment was against the budget headings agreed at the start of the project. We saw no evidence that DFID challenged technical expenditure invoices received to improve the efficiency, effectiveness and economy of services being delivered by the consultants. We are aware that DFID’s practice and systems did not generally link payments to outputs during the life of WORLP.
The financing model and financial management
The financing model was appropriate
2.28 The project spent £32.75 million between 2001 and 2011 (see Figure 7 on page 12). 62% (£20.4 million) of all funds were transferred directly to beneficiaries as cash or loans.52 This significantly contributed to the project’s success. Beneficiaries received wages for work such as digging reservoirs, ponds and water channels. This developed resilience, while providing an income for vulnerable local people. Small loans or grants to micro-enterprises were also provided; such transfers were initially made in cash but latterly through bank accounts jointly owned by the watershed committees and PIAs. The Government of India passed all monies received for the project through to the state without levying any charges.
2.29 As Figure 7 on page 12 shows, 6% of the financial aid was used to establish and fund OWDM’s systems (£2 million) and 11% (£3.6 million) to fund the local expertise that supported communities (the PIAs). These activities have continued after the project and are now funded by the Government of Odisha or through national programmes. This transition was facilitated by WORLP being aligned closely with government systems.53
2.30 There were many levels in the delivery chain from Government of India, through Government of Odisha to PIAs, community groups and beneficiaries. This did not adversely affect project delivery. In our opinion, it was appropriate and efficient.

The pace of delivery was appropriate
2.31 Putting in place new community institutions and building beneficiary participation took time. The project was implemented progressively, with work beginning in 26 watersheds by 2002-03 and reaching the planned 290 core watersheds by 2005-06. As Figure 8 shows, disbursements to beneficiaries rose rapidly from 2005-06. It took time to establish OWDM, to staff it and to appoint the project team. It then took even longer to work with potential beneficiaries to reach a point where community-owned micro-plans were in place to enable activities to begin.
2.32 Our view is that, if participation had not been built in this way, the sustainability of the project’s final investment may have been put at risk. We note that the Government of India’s current guidance (based on WORLP experience) recommends that similar projects should take four to seven years.55
| Year | FA Cumulative | TA Cumulative | 
|---|---|---|
| 2001 | 0 | 0.1 | 
| 2002 | 0.1 | 0.4 | 
| 2003 | 0.2 | 0.8 | 
| 2004 | 1 | 1.2 | 
| 2005 | 2.3 | 2 | 
| 2006 | 5.3 | 2.7 | 
| 2007 | 8.5 | 3.2 | 
| 2008 | 15.5 | 4.3 | 
| 2009 | 20.1 | 4.8 | 
| 2010 | 25.5 | 5.5 | 
| 2011 | 25.8 | 5.9 | 
Financial management was adequate
2.33 We note that DFID transferred £3 million from the budget for technical assistance to the financial aid budget. This was to support Government of Odisha staff salaries that had been covered by technical assistance at the start of the programme.56 We were informed that savings made in the first six to seven years of the programme, along with funds made available as a result of exchange rate fluctuations, led to the decision to expand the project to additional watersheds in 2006, funding only the ‘Watershed Plus’ activities.57
2.34 Audits were regular and appropriate. As Figure 7 on page 12 shows, WORLP was subject to audit at several levels. We examined examples of audit reports that had been prepared at regular intervals at national, state and district levels. Their detail increased closer to the point of spending in villages.58 We note that payment of advances to WORLP depended on clean audit reports for the previous expenditure being claimed. None of the audit reports we saw highlighted any significant areas of concern.
2.35 Village-level accountability, monitoring and transparency of funds were adequate within the villages the field teams visited. We saw samples of accounting books, invoices and claims being maintained by committees. Records were generally neat and kept up to date in both the local language (Odiya) and English. It was unclear how many villagers actively accessed and understood the records but they were available to all group members. Joint accounts held between the Government of Odisha and the community (requiring triple signatures) also encouraged the monitoring and accountability of funds.
The project’s approach to corruption and transparency was good
2.36 The project’s anti-corruption approach emphasised community-level accountability and was facilitated by being fully transparent to beneficiaries in villages. It was reinforced by the detailed record-keeping, control mechanisms and comprehensive audits identified above. The PIAs and district teams were particularly responsible for ensuring accountability systems were in place. OWDM also applied a detailed level of scrutiny. We found evidence of two cases of corruption. Both involved the watershed committee secretaries forging authorising signatures to draw money out of WORLP’s account. The communities had noticed the discrepancy in funds and involved the police. All funds were recovered and, in both cases, the secretaries were prosecuted and imprisoned.
2.37 We think that WORLP’s transparency of funding to beneficiaries for activities in watersheds was exemplary. Direct funding of communities with transparency helped to reduce fraud and made it possible for communities to tackle cases of fraud when they took place. Funding for technical assistance and overall financial aid was also fully transparent to the Governments of Odisha and India. It was not, however, transparent in detail to beneficiaries or to UK taxpayers, who only had information in summary form.
Impact
Assessment: Green-Amber
2.38 This section sets out first the findings of DFID’s performance assessment of WORLP and then our view of the programme’s impact and of the likelihood that its benefits will be sustained in future. The section goes on to assess the quality of DFID’s 2011 performance assessment.
DFID’s assessment of WORLP’s impact
2.39 DFID concluded that WORLP fully achieved its objectives (see Figure 9). This view was set out in DFID’s 2011 Project Completion Report, which assessed the achievements of the project against outcome indicators that had been approved by DFID management in 2004.59 DFID’s view was informed by its 2011 Impact Assessment and the observations of staff from DFID and the Governments of India and Odisha.60
2.40 We have chosen to base our assessment of WORLP on the changes that occurred in the core watersheds where the project was fully implemented. The project was originally designed, approved and funded by DFID management to work only in these areas.
| Outcome | DFID's assessment | 
|---|---|
| Sustainable livelihoods, particularly for the poorest, promoted in four districts in replicable ways | Fully achieved | 
| Outputs | |
| 1. The poorest are organised and able to plan and implement participatory livelihoods-focussed development effectively | Fully achieved | 
| 2. The livelihoods asset base for the poorest is enhanced and diversified in 290 core watersheds | Fully achieved | 
| 3. Government, local councils and NGOs together implement participatory livelihood-focussed watershed development effectively | Largely achieved | 
| 4. Policy and other constraints to the livelihoods of the poorest are reduced | Largely achieved | 
| 5. Project approaches are adopted in the project region and elsewhere in Odisha | Fully achieved | 
| 6. Project management and support arrangements are operational | Largely achieved | 
2.41 We agree with DFID that WORLP has had a positive impact on its original target beneficiaries making a demonstrable contribution to improving their livelihoods. We are unable, however, to concur with many of the detailed results reported in DFID’s 2011 study (see paragraphs 2.56 to 2.60).
2.42 Impact in the 290 core watersheds was much higher than in the additional 387 watersheds. We note that DFID was unable to present clear evidence to us for the rationale for its decision partially to expand the work of WORLP, at no additional cost, to these additional watersheds. DFID was also unable to provide clear evidence of the project’s expenditure in these areas.
Our assessment of WORLP’s impact
Where implemented in full, benefits are being sustained
2.43 The project has achieved significant benefits for the communities we visited in examples of the core watersheds it was designed to assist. 70% of these watersheds show improvements in agricultural productivity that beneficiaries directly attribute to WORLP. All project-funded water management structures are continuing to deliver benefits, two years after the project ended. Most are still being maintained by communities, as they were during the project period. It is notable that these watersheds had received investments in both infrastructure and income generation under the project. They had also received these inputs over many years.
2.44 Community organisations have, however, proven less durable. While more than half the organisations established under WORLP have continued to function adequately, many required continued support from the district Livelihood Support Teams beyond the project’s end to be effective. These teams are now funded by OWDM.
2.45 A key achievement of the project was that assets created by WORLP, such as dams and rainwater harvesting ponds, were formally transferred to community ownership at the end of the project. This contributed to the sustainability of benefits. This was the first time for such a transfer in Odisha.
2.46 Results are mixed in the examples of the villages we visited in the additional watersheds. These are watersheds where the Government of Odisha had implemented land and water management works under its regular programme and WORLP provided support for ‘Watershed Plus’ activities. They had not formed part of the original project, were added only four years before the project’s end, with no change to the overall budget and received less support than the core watersheds. While 25% show significant improvement in agricultural productivity, in most the project’s impact is limited. 50% of the water management structures are being fully utilised and maintained. At the same time, community organisations have not proven fully durable, with only a third now operating effectively.
2.47 Those watersheds where the Government of Odisha implemented its programme without any specific WORLP interventions (the ‘control sample’) show some improvements in water availability and crop diversification. Agricultural productivity and income growth are considerably less in these control watersheds than in WORLP watersheds. In these watersheds, only 25% of water management structures are being fully utilised and maintained, though community organisations set up by local NGOs seem to be a little more durable than in the additional ‘Watershed Plus’ villages. It is unclear why this is the case, given that these villages received less support.
Benefits can be attributed to WORLP
2.48 This difference in performance of villages and watersheds is a clear and consistent pattern between the three types of sample areas set out above.
2.49 We are satisfied that the changes seen in villages in the core WORLP watersheds are attributable to the project and cannot be explained by other factors. In the areas where only income-generating activities were carried out, the attribution of observed impacts to WORLP is less strong. Most of the benefits from improved land and water management, in these watersheds, appear to follow from regular Government of Odisha activities, not WORLP.
The approach was replicated, as intended
2.50 The state government took full ownership of the project and the OWDM became the basis for a rapid expansion of community-led watershed development throughout the state of Odisha. The state government assessed WORLP’s approach to be a success.61 As a result, in 2007, the Chief Minister of Odisha sanctioned an expansion of WORLP’s approach into six other districts through a new programme, ‘Jeebika’. This was completely funded by the Government of Odisha and had a total value of £10 million. In addition, WORLP has contributed to the development of other projects in India as well as national guidelines for watershed management (set out in paragraph 2.64).
2.51 The project was designed to increase the resilience of communities to droughts, floods and other climatic events. It was not explicitly about supporting communities to adapt to a changing climate. We agree with the opinion of DFID staff, however, that the integrated approach in the core watersheds provides a good example of how to increase the resilience of communities to climate change. DFID might do more to use WORLP to inform its approach to building climate resilience elsewhere.
More benefits could have been realised
2.52 The project has proved successful at building agricultural production, reducing vulnerability to climate variability and reducing migration. In the core watersheds, water management structures are being maintained and benefits sustained. The project’s impacts are likely to endure.
2.53 More emphasis was needed, however, on ensuring farmers’ access to markets. Although some work on marketing schemes took place, opportunities were missed to follow these through. Long-term partnerships with the private sector were not sufficiently developed under the project (even though support for this was requested by OWDM). Similarly, the project might have brought communities together that could then have combined their products for sale. These approaches had been undertaken elsewhere in India, for instance in the successful Andhra Pradesh Poverty Reduction Programme supported by the World Bank.
2.54 It is notable that a plan for communities to sustain project benefits was developed only in the last two years of WORLP. Arguably, this should have been put in place earlier. This would then have led to support to build the capacity of communities so that they could continue activities once the project had ended. A post-project management strategy is still being implemented by OWDM, 18 months after the project ended.62 More emphasis was needed on building the capacity of the self-help and other groups undertaking income-generating and ‘Watershed Plus’ activities.
2.55 Over the life of the project, the prevalence of mobile telecommunications technology increased in the area. This could have been used innovatively to connect farmers to markets and in monitoring project results.
The quality of DFID’s assessment
2.56 DFID’s assessment focussed on the project’s impacts on beneficiaries. We note that, thus, it emphasises elements that DFID originally identified as ‘outcome indicators’, which was appropriate (see Figure 6 on page 8). Outcome indicators measure the main changes expected to result from the project.
2.57 DFID’s assessment was implemented quickly, with 4,200 households in 300 villages interviewed during one month by an under-resourced team. The research teams visited each village for one day, having little time to build rapport with respondents. The household interview questionnaire, the main tool for collecting quantitative impact data, was lengthy and had to be completed by interviewers in just 45 minutes. We found errors with the phrasing and translation of questions which influenced the findings (in one case resulting in all results being inverted).
2.58 Our findings from the same watersheds and households do not fully tally with DFID’s 2011 study. Figure 10 on page 17 compares findings at household level. Our overall assessment is somewhat less positive than DFID’s.
2.59 DFID estimated the project’s rate of return at 25.4%.63 We note that the cost–benefit analysis that supported this estimate seems not to have followed a standard methodology and a number of benefits were incorrectly included in the calculation or needed further justification.64 Since DFID underestimated improvements in household incomes by as much as 75%, project impacts may have been higher than DFID indicated in its reporting. We found no evidence suggesting they had been lower.
2.60 The positive internal rate of return of the whole project and the positive impact on target beneficiaries in the core watersheds appears to indicate that, overall, it provided value for money. This judgement is reinforced by considerable subsequent investment in similar projects enabled by WORLP’s demonstration effect (see Figure 11 on page 19). It is unclear, however, whether investment in the additional watersheds demonstrates good value for money, given their performance. Since DFID was unable to tell us how much UK aid was actually spent in these areas, we can make no firm judgement.65
| Households reporting | DFID impact assessment | ICAI verification | 
|---|---|---|
| Moving out of poverty66 | 29% | Compatible: proportion of households moving out of poverty is likely to be higher, as we found that incomes had been underestimated by up to 75%. | 
| Improved land and water management | 65% | Compatible: 70% of WORLP watersheds show improved water availability, crop diversity and agricultural production. Almost 100% of water management structures were functional and most were adequately maintained. | 
| Distress migration67 | 47% down to 6% | Not compatible: project has resulted in reduced migration but the DFID study overestimated the impact because it took place in the dry season, when many poor people had migrated in search of work.68 | 
| Increased access to financial services for micro-enterprises | 56% | Broadly compatible: 75-80% of findings tally. Access greatest in WORLP watersheds. | 
| Membership of community groups | 71% | Not compatible: the DFID study reported its own results incorrectly. The correct figure was 52%. This is similar to our assessment.69 | 
| Enhanced disaster coping capacity | 80% | Broadly compatible: 75-80% of findings tally. Discrepancies mainly due to reporting errors in DFID study. | 
The management of the impact assessment
2.61 DFID did not commission, manage or quality control the impact assessment to the best of its ability. The scope of the evaluation was too ambitious given the funds available. The field research was rushed (which affected the quality of the data collected) and DFID did not quality assure the methodology or data adequately. In particular, it seems that the cost–benefit analysis was not adequately quality assured by DFID.
2.62 We note that DFID has subsequently strengthened its capacity for impact assessment in India. This has included the training and accreditation of staff and the appointment of advisers specialising in evaluation.
Learning
Assessment: Green
2.63 WORLP was designed as a demonstration project to show best practice. This section considers WORLP’s influence and its links to broader lesson-learning. While there are shortcomings in DFID’s monitoring of the project, we note that its influence in India was significant.
WORLP influenced the Government of India
2.64 WORLP was one of two DFID-financed rural livelihoods projects70 that significantly influenced the Government of India in developing its national guidelines.71 In particular, it influenced the design and operation of the £2 billion National Watershed Management Programme, implemented in 27 Indian states.72 WORLP’s specific contributions have been how to deliver projects with the poorest to improve incomes and how to manage operations at state level.
2.65 Notably, the Director of OWDM played a key role in advocating that the Government of India should adopt WORLP’s approach. Equally, personnel who worked on the project (in the Government of India and as consultants) have disseminated the learning from WORLP’s experience across India.
WORLP influence in the state of Odisha
2.66 The project demonstrated a successful model of addressing poverty in Odisha. This led to the state government rapidly increasing its investment in supporting livelihoods through watershed development in 2007. Consequently, OWDM is now responsible for investments of over £200 million across all 26 districts in the state (activities being funded by both national and state governments). These are set out in Figure 11 on page 19.
DFID lesson-learning and review
2.67 We found no specific evidence that the project’s approach to watershed development influenced DFID programmes in other countries. We find this surprising, given its contribution in India. DFID reported to us, however, that WORLP is now recognised as a good example of community-based adaptation to climate change.
2.68 As is standard for DFID projects, WORLP was reviewed annually, usually by joint DFID and Government of Odisha teams. A mid-term review was undertaken in 2006 and the Project Completion Report in 2011. Both were preceded by independent impact assessments. OWDM participated in the review process and recommendations from reviews were discussed by DFID at a senior level with the Government of Odisha. Insufficient attention was paid to reviewing and revising DFID’s principal tool for managing objectives (its ‘logical framework’), despite one set of amendments in 2007.
2.69 Systems for monitoring project activities (what was done and at what cost) were put in place early in the life of WORLP. A comprehensive system that monitored what the project achieved, however, was only put in place in the project’s fifth year. While established too late, this performance monitoring system included a number of innovations, particularly concerning the monitoring of livelihoods and self-assessments by beneficiary groups.
2.70 Impact evaluation was not managed well (see paragraph 2.61). We would expect DFID to conduct a survey at the start of similar projects to act as a baseline from which performance can be measured. When such surveys were done (in 2006 and then for a different purpose in 2008) it was far too late. The methodology of the 2011 impact assessment would have been made more robust if such a baseline had been put in place earlier. We would also expect adequate time to be allowed for field evaluations and for DFID carefully to quality control the impact assessment.
 
3 Conclusions and Recommendations
Conclusions
3.1 WORLP was a successful project. Within its planning and implementation, it contains much that we consider to be best practice in delivering UK aid. This section sets out why we think this, highlighting elements that may be replicable elsewhere.
3.2 The project has proved to be sustainable. In the core watersheds, water management structures are still functioning and are generally being well maintained by communities. As a result, the higher incomes achieved during the project are being sustained. More could have been done, however, to build the capacity of community organisations and link villages sustainably to market opportunities.
3.3 The project was clearly targeted to the needs of the poorest in the four districts of Odisha where it was implemented. It improved the production of food and incomes. It reduced vulnerability to environmental and economic shocks. At the same time, it built communities’ capacity to organise, resulting in the better management of land, assets and production. Such improved organisation was particularly relevant for the most marginalised groups and the landless.
3.4 The project transferred resources directly to poor men and women. 62% of the project’s £32.75 million budget was transferred directly to beneficiaries. This was done as cash for work on watershed assets such as ponds. Funds were also transferred as grants or loans to build economic productive capacity. The other 38% of the funds strengthened expertise and organisations that proved to be largely sustainable. These funds significantly safeguarded the effectiveness and efficiency of the aid transferred to communities and reduced the risk of corruption.
3.5 WORLP involved beneficiaries in decision-making. Those benefiting from UK funds were involved in decisions about how the money should be spent and were aware of what they were meant to receive and why. Facilitation of this by locally based Indian NGO and government officials proved to be vital. This took time but was worth it in terms of impact and sustainability. Equally important was the full transparency of decision-making, record-keeping and the management of project resources in villages and watersheds.
3.6 The project demonstrated effective partnerships. This project demonstrated a close working relationship between the Governments of the UK, India and the state of Odisha from the very beginning. DFID invested time and effort in building and maintaining this. The partnership was evident at senior and operational levels. DFID also actively sought to bring expertise into the project from NGOs in India and to work with them, particularly at local level.
3.7 Local and international resources were high quality. This was fundamentally an Indian project, supported and facilitated by UK expertise and financing. The project is an example where DFID proved able to deliver high-quality technical support through its staff and consultants over and above financial aid. As we found in our review of DFID’s work in Bihar,73 DFID’s skills and influence were highly valued by recipients and peer organisations.
3.8 The project’s approach built on earlier learning about what works, combined with detailed local analysis in Odisha and in the focus districts. It built on over a decade of lessons from DFID’s support to rural livelihoods projects in India and experience from other programmes. It also built on global good practice. This combination meant that it was well designed.
3.9 The project was planned with an appropriately long timescale. The project was designed to work over a ten-year period. It is not common practice in DFID to plan for projects over this length of time. The timing was, however, realistic given the nature of the programme. We note that DFID continued with the project in spite of some concerns about the pace of delivery, while community-level capacity was being built. This judgement proved to be correct.
3.10 There was continuity in leadership from both DFID and the Government of Odisha, as well as within the team of technical experts. While there was some movement of individuals, this project demonstrates a higher level of continuity than is often seen. We think this is an important factor in the project’s success.
3.11 The project could, however, have been even better. Performance may have been improved if DFID had been able to take an even longer view. This may have enabled the project to embed fully its benefits in the additional ‘Watershed Plus’ locations, where results were mixed. It may also have enabled communities to link better to each other and to markets. The need of some communities for continued support beyond the life of the project, for sustainability, should have been recognised and addressed.
3.12 Similarly, while the project was flexible, it did not fully take the opportunities to respond to changing circumstances. In particular, DFID did not respond fully to requests for assistance from the Government of Odisha to assist project villages to build links to markets. We saw evidence that WORLP suffered from varying degrees of DFID’s interest and commitment during its life. If DFID staff, particularly senior staff, had remained consistently engaged throughout the life of the project, opportunities to improve further the project’s performance may not have been missed.
3.13 DFID did not sufficiently resource or control the quality of its 2011 impact assessment. DFID had the ability to do this at the time but left it too late, rushing the task.
Recommendations
3.14 WORLP has ended. The following recommendations highlight lessons of general applicability that can be drawn from the work of this project.
Recommendation 1: It is particularly important for livelihoods and other climate resilience programmes that DFID enables long-term planning and budgeting. DFID staff should be made aware that departmental budgeting cycles should not constrain effective planning. This is especially the case where an intervention’s success depends on community participation and ownership.
3.15 We note that DFID’s current budgeting practice may dissuade country offices and managers from planning with long-term horizons. WORLP demonstrates the value of such planning. In particular, we note that the large-scale spending from WORLP principally took place in the latter half of the project, after communities were fully engaged in the programme.
Recommendation 2: Exit and sustainability matter. There should be a specific mandatory workstream in all projects, from inception, that plans for exit and sustainability. DFID needs to manage livelihood projects actively right through to the end.
3.16 While DFID approval documentation and periodic assessments referred to the need to put exit strategies in place for WORLP, this was not enforced. There is an inevitable tendency for managers to put effort into looking forward. DFID should reinforce the requirement to ensure full engagement with projects, until they are finally completed, by all responsible staff.
Recommendation 3: The project emphasises the benefits of transparency to and involvement of beneficiaries. DFID should continue to develop greater transparency at all levels, including in respect of project results.
3.17 WORLP demonstrates that transparency of funding to beneficiaries works. DFID is making strides to improve its transparency to beneficiaries and to the UK taxpayer. We support DFID in this and recommend that it develop standards for transparency to beneficiaries that can be assessed clearly in project approval and during implementation for each project.
3.18 It is important to provide wider access to the detailed data on the performance of projects. Making such information more clearly available to the public and to specialists would allow it to be assessed from a broader range of viewpoints, driving up the quality of the information and the performance of DFID’s activities.
Annex
WORLP’s targets
1. The project design envisaged that seven outputs would lead to the achievement of the outcome74 of ‘sustainable livelihoods, particularly for the poorest, promoted in four districts in replicable ways, by 2010’. This outcome, in turn, would lead to the impact of ‘more effective approaches to sustainable rural livelihoods adopted by governments and other agencies in western Odisha and beyond’.
2. Outputs 1-4 address livelihoods improvement in project watersheds. They focus on watershed development to improve land and water management; ‘Watershed Plus’ activities to improve livelihoods of the poorest people without land; and strengthening community organisations. Outputs 5-7 seek to achieve better policies and co-ordination among government and other agencies for poverty reduction, as well as to replicate the approach outside the project area.
 
Abbreviations
- BPL – Below Poverty Line
- DFID – Department for International Development
- DoLR – Department of Land Reforms
- DRDA – District Rural Development Agency
- FA – Financial Aid
- ICAI – Independent Commission for Aid Impact
- IRR – Internal Rate of Return
- IWMP – Integrated Watershed Management Programme
- MC – Management Consultancy
- MDG – Millennium Development Goal
- MRD – Ministry of Rural Development
- NGO – Non-governmental organisation
- NREGS – National Rural Employee Guarantee Scheme
- OTELP – Odisha Tribal Empowerment and Livelihoods Programme
- OWDM – Government of Odisha’s Watershed Development Mission
- PEC – Projects Evaluation Committee
- PIA – Project Implementation Agency
- PST – Project Support Team
- TA – Technical Assistance
- UNDP – United Nations Development Programme
- WORLP – Western Orissa Rural Livelihoods Project
Footnotes
- In 2011, the Government of Orissa changed the English version of the state’s name from Orissa to Odisha.
- In 2011, the Government of Orissa changed the English rendering of the name of the state of Orissa to Odisha. In this report, ‘Orissa’ is used when referring to programmes or organisations which retained use of the name, otherwise ‘Odisha’ is used.
- United Nations Development Programme (UNDP) data for 2010. See UNDP Country Profile: Human Development Indicators for India, http://hdrstats.undp.org/en/countries/profiles/IND.html.
- See UNDP Country Profile: Human Development Indicators for India, http://hdrstats.undp.org/en/countries/profiles/IND.html.
- The Future of DFID’s Programme in India, written evidence submitted by Save the Children to the International Development Committee, March 2011, www.publications.parliament.uk/pa/cm201011/cmselect/cmintdev/writev/616/m15.htm.
- Census of India, http://censusindia.gov.in.
- This is approximately equal to the population of Poland and the Republic of Ireland combined. Data from the Census of India, http://censusindia.gov.in/.
- Annual Plan 2012-13, Planning and Coordination Department, Government of Odisha, Bhubaneswar, http://www.odisha.gov.in/p&c/Download/Annual_Plan_2012_13/Vol_I/CHAPTER-1%20%20(Odisha%20Devt)%20(F).pdf.
- Scheduled tribes and scheduled castes are historically disadvantaged groups of people recognised under the Constitution of India. The Constitution provides for affirmative action, which includes targeted development programmes.
- Census of India (2001): scheduled tribes 22% and scheduled castes 17%, http://censusindia.gov.in/Tables_Published/SCST/dh_st_orissa.pdf and http://censusindia.gov.in/Tables_Published/SCST/dh_sc_orissa.pdf.
- Odisha Economic Survey, 2011-12, Government of Odisha, http://www.odisha.gov.in/p&c/Download/Economic_Survey_2011_12.pdf.
- The Future of DFID’s Programme in India, volume 1, International Development Committee, June 2011, HC 616, www.publications.parliament.uk/pa/cm201012/cmselect/cmintdev/616/616.pdf.
- http://www.bbc.co.uk/news/uk-politics-20265583.
- Greening Announces New Development Relationship with India, DFID Press Release, 9 November 2012, http://www.dfid.gov.uk/News/Latest-news/2012/India-nov12/.
- DFID’s current priority states are Bihar, Madhya Pradesh and Odisha.
- Data from DFID India.
- Project Memorandum: Western Orissa Rural Livelihoods Project, DFID, 1999.
- A watershed is an area of land in which all the water that falls on it flows down to the same place, such as into a pond, a river or a lake. A large watershed can therefore include many small or micro-watersheds.
- The Ninth Five Year Plan of India (1997-2002) defined below the rural poverty line as a family income of less than £230 (20,000 rupees) per year, less than two hectares of land and no television or refrigerator. 9th Five Year Plan, Planning Commission, Government of India, 1997, see http://planningcommission.nic.in/plans/planrel/fiveyr/9th/default.htm. In 2002, this system was replaced by a detailed ‘poverty scorecard’ method, later modified further. See Alkire and Seth, ‘Measuring Multidimensional Poverty in India: A New Proposal’, Oxford Poverty and Human Development Institute, Working Paper No 15, 2002, http://www.ophi.org.uk/wp-content/uploads/OPHI-wp15.pdf.
- Natural Resources International Ltd provided the technical support to OWDM to implement WORLP. It was contracted following competitive tenders in 2001 and 2006.
- This decision was made at the project’s mid-term review.
- Impact Assessment of Western Orissa Rural Livelihoods Project, Sambodhi Research and Communications Ltd, for DFID, 2011.
- The DFID assessment did not compare WORLP watersheds with a control group of villages where there had been no land and water management activities.
- A ‘difference-in-difference’ methodology was used to compare the situation ‘with and without’ and ‘before and after’ the project. This was reinforced by Propensity Score Ranking, a technique used to ensure the comparison group in control villages is as similar as possible to the treatment groups in WORLP villages.
- The interviews involved a 33-page questionnaire, designed to collect quantitative data on all aspects of household livelihoods and with a special section of questions for the women of the household.
- See: http://icai.independent.gov.uk/wp-content/uploads/2011/11/Interviewee-protection-policy-2.pdf.
- Odiya is the principal language in Odisha.
- We planned to include eight villages from each watershed type (WORLP full programme, WORLP ‘Watershed Plus’ and control) in our sample. In two of the randomly selected WORLP watersheds, however, there was only one large village, which reduced the number of villages sampled to seven in both the WORLP full programme and ‘Watershed Plus’ categories. We doubled the number of households interviewed in these larger villages. Most WORLP watersheds had one control village. In two WORLP watersheds, however, the two villages surveyed were a long way apart so each was given its own control village. This increased the total number of control villages from eight to ten.
- Approximately 100 households participated in the focus groups in control villages.
- DFID India made the submission for funding to DFID headquarters in late 1998; approval was granted in January 1999.
- DFID’s Country Strategy Paper, as summarised in An Evaluation of DFID’s India Programme 2000-2005, DFID, 2006, http://www.dfid.gov.uk/Documents/publications1/evaluation/ev670.pdf.
- The fiscal crisis lasted from 1999-2004, with high revenue and fiscal deficits and mounting debt. See: Update on Orissa Socioeconomic Development Project Program, World Bank in India, volume 10 (3), 2012, pages 10-13.
- Executive Summary to the Orissa Development Report 2001, State Planning Commission, State of Odisha, 2001, http://www.planningcommission.nic.in/plans/stateplan/sdr_orissa/sdr_oriexe.doc.
- In the late 1990s, GDP grew at 2% annually and per capita growth in GDP was stagnant, http://www.odisha.gov.in/p&c/Download/Economic_Survey_2010_11.pdf. The Government of Odisha implemented reforms to restore fiscal stability and to create space for effective public investment to address development. It sold off uneconomical state enterprises, with the World Bank and DFID supporting the retraining of redundant staff and other public sector reform programmes.
- Impact Evaluation of the Western India Rainfed Farming Project, Phase 1, Krishak Bharati Cooperative Ltd (Kribhco), New Delhi, 1999.
- See Farrington, J. et al., Participatory Watershed Development. Challenges for the Twenty-First Century, Oxford University Press, New Delhi, 1999.
- Such as developing crop varieties with farmers and supporting the poorest people migrating in search of work.
- Project Memorandum, Western Orissa Rural Livelihoods Project, DFID, 1999.
- DFID planned to spend £250,000 on design but was not able to provide details of the total eventual cost. We are, therefore, unable to make a comment on the value for money of this expenditure.
- A theory of change is a model which sets out how a planned intervention will work and have the intended impact. The assessment of a programme will typically look at this rationale and undertake work to understand what happened and why, so as to test whether the theory of change underlying the aid project has proved to be valid.
- Project Memorandum, Western India Rainfed Farming Project, DFID, 1999.
- Andhra Pradesh Rural Livelihoods Project (£45.5 million, 1999-2007); Madhya Pradesh Rural Livelihoods Project (£61.0 million, 2004-12).
- The Mahatma Gandhi National Rural Employment Guarantee Scheme is one of the largest social protection programmes in India. It guarantees 100 days’ work per year on public works schemes to any rural household who asks. The budget in 2010-11 was £6 billion, http://www.nrega.net.
- Project Memorandum. Western Orissa Rural Livelihoods Project, Annex 9: Risk Assessment, DFID, 1999.
- Livelihood support teams were put in place to ensure that the poorest benefitted from the project, particularly by encouraging the organisation of groups which could receive grants and loans.
- For example, the World Bank-supported Rural Poverty Reduction Project, in the neighbouring state of Andhra Pradesh. It brings together self-managing community organisations to link with the private sector to obtain inputs for the marketing of agricultural and other products and access to public services.
- At the time, project approval was given by DFID’s London-based Projects Evaluation Committee (PEC), subject to ministerial agreement. It was standard practice for DFID officials to present the designed project and argue the case for approval.
- Project Directors were only appointed in districts in 2005.
- Natural Resources International Ltd.
- Available invoices provided by DFID India were analysed in detail. Invoices for the remaining £2.1 million were not seen.
- Detailed analysis of technical assistance invoices from Natural Resources International Ltd to DFID for 2001-11.
- Loans were provided on a micro-credit model, resulting in the establishment of small funds that continue to provide revolving loans.
- In addition, the strong economic growth in Odisha over the decade 2001-11 resulted in higher tax revenues and thus funds available for government development programmes.
- Values calculated using source-level documentation provided to ICAI by DFID India.
- Common Guidelines for Watershed Development Projects, Government of India Planning Commission, 2008, Revised Edition 2011, http://nraa.gov.in/Guidelines_2011.pdf.
- At the start of the project, in 2001, it was difficult for the Government of Odisha to create or fill new posts or hire contract workers into OWDM because of the fiscal situation and job losses in state-owned enterprises. The technical assistance team did this until 2004, when these posts were transferred to the Government of Odisha and paid through Financial Aid. Western Orissa Rural Livelihoods Project, Aide Memoire of the Annual Review, 26-28 April 2010.
- This was, therefore, at no additional cost to the overall budget.
- WORLP stakeholder interviews involving government officials and community members, September 2012.
- This was when the project moved to its second phase of approved funding.
- Impact Assessment of Western Orissa Rural Livelihoods Project, Sambodhi Research and Communications Ltd, for DFID, 2011.
- Orissa Watershed Development Mission Report, 2000-07, OWDM, 2007, http://www.worlp.com/images/publication/OWDM%20Report_Final_11_6_08.pdf.
- Guideline for Post-Project Management of Watersheds, OWDM, 2011, http://www.orissawatershed.org/admin/Publication/Publication_56.pdf.
- The internal rate of return (IRR) is commonly used in cost–benefit analysis to measure and compare the profitability of investments. The higher a project’s IRR, the more desirable it is to undertake the project. The IRR is defined as the discount rate that would give a project a present value of zero. See The Green Book – Appraisal and Evaluation in Central Government, UK Treasury, 2003, page 101, http://www.hm-treasury.gov.uk/d/green_book_complete.pdf.
- DFID has recently improved its corporate guidance for assessing the rate of return and value for money of similar projects. See for example DFID How to Note: A Strengthened Approach to Economic Appraisals, 2009, http://www.dfid.gov.uk/Documents/publications1/how-to-economic-appraisal.pdf; or Hodges et al., Guidance for DFID Country Offices on Measuring and Maximising Value for Money in Cash Transfer Programmes, 2011, http://www.dfid.gov.uk/Documents/publications1/guid-dfid-cnty-offs-meas-max-vfm-csh-trsfr-progs.pdf.
- DFID documentation indicates that DFID made the decision to extend the activities to the additional watersheds without clearly identifying the cost of doing so (although the overall WORLP budget was not increased). In addition, monitoring reports did not contain cost information and the DFID Project Completion Report and cost-benefit analysis within DFID’s impact assessment do not differentiate between costs in the original and additional watersheds.
- DFID estimated the proportion of people in the category ‘Below Poverty Line’ (BPL) whose incomes improved sufficiently to move out of the category. It used this as a proxy for overall impact, indicating the rate of improvement in the incomes of beneficiaries overall.
- This term was used by DFID to refer to migration in search of work in the dry season.
- Provision was not made for the DFID study having taken place during the dry season, when many of the poorest households had already migrated.
- In analysing the data, DFID’s team used membership of Panchayati Raj institutions (village-level self-government) to calculate membership of community organisations, rather than membership of groups related directly to project activities.
- The other was the £45.5 million Andhra Pradesh Rural Livelihoods Project (1999-2007).
- Common Guidelines on Watershed Development, Government of India, 2008, see: http://iwmpmis.nic.in/.
- The national programme is the Integrated Watershed Management Programme, http://dolr.nic.in/dolr/iwmp_main.asp.
- Evaluation of DFID’s Support for Health and Education in India, ICAI, 2012, http://icai.independent.gov.uk/wp-content/uploads/2010/11/ICAI-Evaluation-of-DFIDs-Support-for-Health-and-Education-in-India-Final-Report.pdf.
- At the time the project was designed, DFID used the term ‘purpose’ for the end result of the project and ‘goal’ for the higher-level ambition to which the project would contribute. In 2009, DFID replaced these terms with ‘outcome’ and ‘impact’.
- Summarised from the logical framework in: Project Memorandum: Western Orissa Rural Livelihoods Project, DFID, 1999.